第23888题 单选
关于给定二叉树的遍历序列,下列说法错误的是?

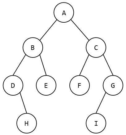
给定二叉树结构如下: 二叉树结构

A

HDEBFIGCA不是它的后序遍历序列

B

ABCDEFGHI是它的广度优先遍历序列

C

ABDHECFGI是它的深度优先遍历序列

D

ABDHECFGI是它的先序遍历序列