第21323题 单选
下列哪个选项是给定有向图的合法广度优先遍历序列?

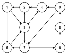
给定有向图结构如下: 有向图结构

A

1, 3, 5, 7, 4, 2, 6, 8, 9

B

9, 4, 2, 1, 3, 7, 5, 6, 8

C

1, 3, 5, 7, 6, 8, 9, 4, 2

D

9, 4, 7, 2, 1, 3, 5, 6, 8

提交0次 正确率0.00%
答案解析