第21159题
下列选项中哪个不可能是给定有向图的广度优先遍历序列?

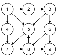
有向图结构

A

1, 2, 4, 5, 3, 7, 6, 8, 9

B

1, 2, 5, 4, 3, 7, 8, 6, 9

C

1, 4, 5, 2, 7, 3, 8, 6, 9

D

1, 5, 4, 2, 7, 3, 8, 6, 9

提交0次 正确率0.00%
答案解析